hei, jeg har en del spørsmål som jeg kunne trengt et svar på.
oksidasjonstall til mangan i [tex]K_2MnO_4[/tex], jeg tenkte egetnlig
at siden [tex]MnO_4^{-}[/tex] og "summen av oksidasjonstallene til atomene i et sammensatt ion er lik ioneladning" at mangan kommer før "summen av alkali og jordalkalimetaller er 1+ og 2+) får mangan oksidasjonstall +7 men da stemmer det ikke med kalium,
hvis jeg bruker at kalium har oksidasjonstall +1, da blir oksidasjonstall til mangan +6, men jeg skjønner ikke dette fordi regelen med at "summen av oksidasjonstallene til atomene i et sammensatt ion er lik ioneladning" har høyere prioritet enn den andre regelen??
Hvorfor er dette en redoksreaksjon [tex]H_2O+2HBr\rightarrow Br_2+2H_2O[/tex]
her ser jeg kun at brom blir oksidert, men ikke noe blir redusert, og da kan det ikke være en redoksreaksjon?
Hvor mange miljø har disse stoffene
[tex](CH_3)_2CO[/tex] her tenkte jeg 2 miljøer [tex]CH_3O-CH_3O-CO[/tex] - ett miljø til venstre og ett miljø i midten som er bare bundet til et karbonatom med ett oksygenatom
[tex]C_6H_6[/tex] - her tenkte jeg 2 miljøer - CH3 og CH2
[tex]C_6H_{12}[/tex] (sykloheksan) her tenkte jeg bare 1 miljø?
Hvilket av alternativene under er egnet til omkrystallisering av benzosyre
A. VANN
B. CH3Cl
C. CCl3COOH
D. 0.1 M NaOH
Her tenkte jeg at det ikke kan være NaOH, fordi syren vil uansett løse seg godt i basen, og samme med syren (C),
da står jeg igjen med A eller B, jeg tenkte kanskje B fordi hvis jeg forstå riktig så er poenget med omkrystallisering at man skal ha et stoff som har høy løselighet ved høy tempratur og lav løselighet med lav temperatur,
men samtidig har man klor, så derfor kanskje vann fordi bevegelsesenergien øker ved økende temperatur?
takk!
flervalgsspørsmål kjemi 2
Moderators: Vektormannen, espen180, Aleks855, Solar Plexsus, Gustav, Nebuchadnezzar, Janhaa
Gjest wrote:
oksidasjonstall til mangan i [tex]K_2MnO_4[/tex], jeg tenkte egetnlig
at siden [tex]MnO_4^{-}[/tex] og "summen av oksidasjonstallene til atomene i et sammensatt ion er lik ioneladning" at mangan kommer før "summen av alkali og jordalkalimetaller er 1+ og 2+) får mangan oksidasjonstall +7 men da stemmer det ikke med kalium,
hvis jeg bruker at kalium har oksidasjonstall +1, da blir oksidasjonstall til mangan +6, men jeg skjønner ikke dette fordi regelen med at "summen av oksidasjonstallene til atomene i et sammensatt ion er lik ioneladning" har høyere prioritet enn den andre regelen??
$K_2MnO_4$. Kalium kan kun ha oksidasjonstall +I, og oksygen har som regel alltid -II, Dette gir oss
$K:+1\cdot 2=+2$
$O_4=-2 \cdot 4=-8$.
$-8+2=-6$, summen av ladningen skal bli lik 0 og dermed får mangan oksidasjontall +6.
Sikker på at du har skrevet reaksjonen riktig?Gjest wrote:hei, jeg har en del spørsmål som jeg kunne trengt et svar på.
Hvorfor er dette en redoksreaksjon $H_2O+2HBr\rightarrow Br_2+2H_2O$
her ser jeg kun at brom blir oksidert, men ikke noe blir redusert, og da kan det ikke være en redoksreaksjon?
Hvor mange miljø har disse stoffene:
$(CH_3)_2CO$ her tenkte jeg 2 miljøer $CH_3O−CH3O−CO$ - ett miljø til venstre og ett miljø i midten som er bare bundet til et karbonatom med ett oksygenatom
$C_6H_6$- her tenkte jeg 2 miljøer - $CH_3$ og $CH_2$
$C_6H_12(sykloheksan) her tenkte jeg bare 1 miljø?
På den første så mener du $CH_3-CO-CH_3$?. Dette molekylet vil kun ha ett miljø. Hvis du setter en sterk mellom CO dobbeltbindingen så vil du se nøyaktig det samme på venstresiden som du ser på høyre siden. Ergo er molekylet symmetrisk og du observerer kun ett miljø!
$C_6H_6$, er litt vanskelig for meg å forstå hvilken du mener da dette har mange konstisjonell isomerer https://en.wikipedia.org/wiki/C6H6
Så jeg antar du mener benzen? På lik linje med sykloheksan, så vil dette kun ha ett miljø. Dette kommer av at alle H-atomene er nøyaktig det samme. Tenk på det som en $CH_4$ gruppe hvor alle H-atomene er det samme.
Og det er helt riktig at sykloheksan kun har ett miljø.
-
Guest
Men hvorfor? regelen om at "summen av oksidasjonstallene til atomene i et sammensatt ion er lik ioneladning" har jo høyere prioritet enn at alkalimetaller har +1 som ladning!Kjemikern wrote:Gjest wrote:
oksidasjonstall til mangan i [tex]K_2MnO_4[/tex], jeg tenkte egetnlig
at siden [tex]MnO_4^{-}[/tex] og "summen av oksidasjonstallene til atomene i et sammensatt ion er lik ioneladning" at mangan kommer før "summen av alkali og jordalkalimetaller er 1+ og 2+) får mangan oksidasjonstall +7 men da stemmer det ikke med kalium,
hvis jeg bruker at kalium har oksidasjonstall +1, da blir oksidasjonstall til mangan +6, men jeg skjønner ikke dette fordi regelen med at "summen av oksidasjonstallene til atomene i et sammensatt ion er lik ioneladning" har høyere prioritet enn den andre regelen??
$K_2MnO_4$. Kalium kan kun ha oksidasjonstall +I, og oksygen har som regel alltid -II, Dette gir oss
$K:+1\cdot 2=+2$
$O_4=-2 \cdot 4=-8$.
$-8+2=-6$, summen av ladningen skal bli lik 0 og dermed får mangan oksidasjontall +6.
Mente [tex](CH_3O)_2CO[/tex]Gjest wrote:hei, jeg har en del spørsmål som jeg kunne trengt et svar på.
Hvorfor er dette en redoksreaksjon $H_2O+2HBr\rightarrow Br_2+2H_2O$
her ser jeg kun at brom blir oksidert, men ikke noe blir redusert, og da kan det ikke være en redoksreaksjon?
Sikker på at du har skrevet reaksjonen riktig?
Hvor mange miljø har disse stoffene:
$(CH_3)_2CO$ her tenkte jeg 2 miljøer $CH_3O−CH3O−CO$ - ett miljø til venstre og ett miljø i midten som er bare bundet til et karbonatom med ett oksygenatom
$C_6H_6$- her tenkte jeg 2 miljøer - $CH_3$ og $CH_2$
$C_6H_12(sykloheksan) her tenkte jeg bare 1 miljø?
På den første så mener du $CH_3-CO-CH_3$?. Dette molekylet vil kun ha ett miljø. Hvis du setter en sterk mellom CO dobbeltbindingen så vil du se nøyaktig det samme på venstresiden som du ser på høyre siden. Ergo er molekylet symmetrisk og du observerer kun ett miljø!
$C_6H_6$, er litt vanskelig for meg å forstå hvilken du mener da dette har mange konstisjonell isomerer https://en.wikipedia.org/wiki/C6H6
Så jeg antar du mener benzen? På lik linje med sykloheksan, så vil dette kun ha ett miljø. Dette kommer av at alle H-atomene er nøyaktig det samme. Tenk på det som en $CH_4$ gruppe hvor alle H-atomene er det samme.
Og det er helt riktig at sykloheksan kun har ett miljø.
hvorfor har benzen bare ett miljø? er ikke annen hver c atom bundet med en dobbeltbinding og dermed har hvert 2 karbonatom ulikt h-atom og dermed får vi 2 miljøer?
$K_2MnO_4$.
Problemet her at dette er ikke kalimpermanganat, $KMnO_4$. En reaksjon mellom $K_2MnO_4$ og $H_2O$ vil gi deg produktene $KMnO_4 + MnO_2 + 4KOH$. Så her er mot ionet $MnO_4^{-2}$
NMR.
$(CH_3-O)_2CO$. Er det samme som: $CH_3-O-CO-O-CH_3$. Igjen så har vi symmetri. V.S er lik H.S, ergo er H-atomene på V.S helt like de på høyre.
Ettersom benzen er full konjugert aromatisk ring struktur (resonans) så vil dobbeltbindingen kunne hele tiden flytte på seg. og dermed så vil i teorien alle C-atomene "ha" dobbeltbindinger.
Problemet her at dette er ikke kalimpermanganat, $KMnO_4$. En reaksjon mellom $K_2MnO_4$ og $H_2O$ vil gi deg produktene $KMnO_4 + MnO_2 + 4KOH$. Så her er mot ionet $MnO_4^{-2}$
NMR.
$(CH_3-O)_2CO$. Er det samme som: $CH_3-O-CO-O-CH_3$. Igjen så har vi symmetri. V.S er lik H.S, ergo er H-atomene på V.S helt like de på høyre.
Ettersom benzen er full konjugert aromatisk ring struktur (resonans) så vil dobbeltbindingen kunne hele tiden flytte på seg. og dermed så vil i teorien alle C-atomene "ha" dobbeltbindinger.
-
Guest
Takk! forstår nå at jeg forvekslet stoffeneKjemikern wrote:$K_2MnO_4$.
Problemet her at dette er ikke kalimpermanganat, $KMnO_4$. En reaksjon mellom $K_2MnO_4$ og $H_2O$ vil gi deg produktene $KMnO_4 + MnO_2 + 4KOH$. Så her er mot ionet $MnO_4^{-2}$
Vet ikke om jeg helt følger med her;NMR.
$(CH_3-O)_2CO$. Er det samme som: $CH_3-O-CO-O-CH_3$. Igjen så har vi symmetri. V.S er lik H.S, ergo er H-atomene på V.S helt like de på høyre.
Blir ikke: [tex](CH_3O)_2CO=CH_3O-CH_3O-CO[/tex]
hvor vi har 2 miljøer?
Ettersom benzen er full konjugert aromatisk ring struktur (resonans) så vil dobbeltbindingen kunne hele tiden flytte på seg. og dermed så vil i teorien alle C-atomene "ha" dobbeltbindinger.
Takk igjen!
Kan jeg poste noen flere oppgaver? vil ikke spamme forumet, men hadde vært greit siden jeg skal ha terminprøve om 2 dager
Vet ikke om jeg helt følger med her;
Blir ikke: [tex](CH_3O)_2CO=CH_3O-CH_3O-CO[/tex]
hvor vi har 2 miljøer?
Kan jeg poste noen flere oppgaver? vil ikke spamme forumet, men hadde vært greit siden jeg skal ha terminprøve om 2 dager
Bare spør i vei. Jeg er ikke i Norge for øyeblikket. Så hvis jeg ikke svarer med engang så er det fordi jeg er i en annen tidssone =)
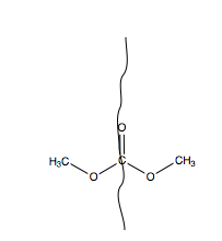
Hvis det står i oppgaven $(CH_3O)_2CO$, så er det helt sikkert det jeg tegnet over
Slik du ser på bildet, så har vi et indre symmetriplan. La oss ta for oss miljøet. Vi har et $-CH_3$ molekyl. Dette er koblet til $O$ som er koblet til $C=O$.
Den andre $-CH_3$(på høyre side) er koblet på nøyaktig samme måte. Ergo er det helt umulig å skille hvilken som er hvilken, derfor sier man at de er i samme miljø. For å gjøre det enklere tenk at du flipper molekylet. Vi ser nøyaktig det samme!
Her er en illustrasjon på "flippingen":
Du tenker helt riktig. Det neste du må se på er hvor godt løselig er benzosyre i A, B, eller C. Du bør ha få oppgitt en tabell.Hvilket av alternativene under er egnet til omkrystallisering av benzosyre
A. VANN
B. CH3Cl
C. CCl3COOH
D. 0.1 M NaOH
Her tenkte jeg at det ikke kan være NaOH, fordi syren vil uansett løse seg godt i basen, og samme med syren (C),
da står jeg igjen med A eller B, jeg tenkte kanskje B fordi hvis jeg forstå riktig så er poenget med omkrystallisering at man skal ha et stoff som har høy løselighet ved høy tempratur og lav løselighet med lav temperatur,
men samtidig har man klor, så derfor kanskje vann fordi bevegelsesenergien øker ved økende temperatur?
http://www.matematikk.net/matteprat/vie ... hp?t=42908Gjest wrote:takk, kom opp i kjemi 2
har du noen tips?
-
Guest
Kjemikern wrote:http://www.matematikk.net/matteprat/vie ... hp?t=42908Gjest wrote:takk, kom opp i kjemi 2
har du noen tips?
takk, har et spørsmål
Når man får vite konsentrasjonen av en svak syre, og ph-verdien.
Skal man da anta at man kun har syren i f.eks. begerglasset, eller at vi har en buffer?
[tex]HA+H_2O\leftrightarrow A^-+H_3O^+[/tex], hvorfor vil ikke en vanlig protolysereaksjon i en buffer? har det kanskje noe med at svake syrer protolyserer svært lite, så da blir konsentrasjonen av [tex]HA[/tex] mye større enn [tex]A^-[/tex]?
så hvis man har oppgitt konsentrasjonen av en syre og ph-verdien, og deretter tilsetter den korresponderende basen,
vil denne øke konsentrasjonen av den allerede eksisterende korrepsonderende basen, eller vil det føre til at det dannes en buffer?
hvis du tilsetter en like stor mengde base som syre, da får vi ikke en buffer?
Dersom du får vite pH og konsentrasjonen på en gitt svak syre så vet du hva du har med å gjøre. Anta for denne svake syren at pKa er 6. Dersom du får oppgitt at konsentrasjonen av syren er 2 M og at pH er 6.5, så vet du at du har også den korresponderende syren i basen. Dette kommer ved at pH ligger innenfor bufferområde for denne svake syren. Konsentrasjonen for den svake syren kan du enkelt finne ut ved hjelp av bufferlikningen.Når man får vite konsentrasjonen av en svak syre, og ph-verdien.
Skal man da anta at man kun har syren i f.eks. begerglasset, eller at vi har en buffer?
Får du derimot vite at pH er 4 og konsentrasjonen fortsatt er 2 M, så vet du at du har mest sannsynligvis en buffer med ren svak syre. Igjen så kan du ikke si at den er 100% ren, da vi vil alltid ha en likevekt.
Jeg skjønte ikke helt spørsmålet. Grunnen til at vi får buffere er fordi den svake syren protolyserer ikke 100%, hvilket fører til at vi får en likevekt mellom $HA$ og $A^-$.[tex]HA+H_2O\leftrightarrow A^-+H_3O^+[/tex], hvorfor vil ikke en vanlig protolysereaksjon i en buffer? har det kanskje noe med at svake syrer protolyserer svært lite, så da blir konsentrasjonen av [tex]HA[/tex] mye større enn [tex]A^-[/tex]?
Den vil øke konsentrasjonen av den korresponderende basen, dette må man ta hensyn til. Dersom pH etter tilsats av konsentrasjonen fortsatt ligger innen for bufferområde har vi en buffer.så hvis man har oppgitt konsentrasjonen av en syre og ph-verdien, og deretter tilsetter den korresponderende basen,
vil denne øke konsentrasjonen av den allerede eksisterende korrepsonderende basen, eller vil det føre til at det dannes en buffer?
Ja, hvorfor får vi ikke en buffer? Hva er kravet for at vi skal ha en buffer?hvis du tilsetter en like stor mengde base som syre, da får vi ikke en buffer?
-
Guest
Takk! for litt oppklaring på uklarheter her:
1.
men får vi ikke en buffer med like store mengder svak syre og korresponderende svak base?
da blir vel [tex]pH=pka[/tex]?
2. Så hvis du f.eks. får oppgitt at konsentrasjonen av NH3 er 0.20M med ph-verdi på 12.2. I denne løsningen tilsetter vi 7.56 g NH4CL, og så skal vi beregne ph-verdien
(tror jeg har blandet noen tall og husker ikke helt oppgaven), men uansett er dette fremgangsmåten:
finne først antall mol NH4CL.
lage reaksjonslikning hvor tilsatt base reagerer med den syriske komponent i bufferen,
og trekke fra mol som [tex]\left [ HA \right ]=0.2-tilsatt[/tex], [tex]\left [ A^- \right ]=x[/tex]
(eller er dette kun med en sterk komponent)
og så til slutt sette inn i bufferlikningen?
3. (liten avsporing)
men hvis man har fått oppgitt en elektrolyse med flere forskjellige stoffer, og skal bestemme hvilken reaksjon som lettest mulig vil bli elektrolysert, da antar jeg at man må finne det paret som har minst ellepotensialet fordi denne vil kreve minst strøm?
4.
Hvordan kan man vite om en elektrolytt i et elektroltysekar fortynnes underveis i en elektrolyse? Er det viss den deltar i en av reaksjonene (f.eks. ved anoden og katoden)?
1.
men får vi ikke en buffer med like store mengder svak syre og korresponderende svak base?
da blir vel [tex]pH=pka[/tex]?
2. Så hvis du f.eks. får oppgitt at konsentrasjonen av NH3 er 0.20M med ph-verdi på 12.2. I denne løsningen tilsetter vi 7.56 g NH4CL, og så skal vi beregne ph-verdien
(tror jeg har blandet noen tall og husker ikke helt oppgaven), men uansett er dette fremgangsmåten:
finne først antall mol NH4CL.
lage reaksjonslikning hvor tilsatt base reagerer med den syriske komponent i bufferen,
og trekke fra mol som [tex]\left [ HA \right ]=0.2-tilsatt[/tex], [tex]\left [ A^- \right ]=x[/tex]
(eller er dette kun med en sterk komponent)
og så til slutt sette inn i bufferlikningen?
3. (liten avsporing)
men hvis man har fått oppgitt en elektrolyse med flere forskjellige stoffer, og skal bestemme hvilken reaksjon som lettest mulig vil bli elektrolysert, da antar jeg at man må finne det paret som har minst ellepotensialet fordi denne vil kreve minst strøm?
4.
Hvordan kan man vite om en elektrolytt i et elektroltysekar fortynnes underveis i en elektrolyse? Er det viss den deltar i en av reaksjonene (f.eks. ved anoden og katoden)?
Jo, ved $pH=pKa$ vil vi ha en ideel buffer. Det er her bufferen tåler like stor mengde base som syre. Husk definisjonen på en buffer.1.
men får vi ikke en buffer med like store mengder svak syre og korresponderende svak base?
da blir vel [tex]pH=pka[/tex]?
2. Så hvis du f.eks. får oppgitt at konsentrasjonen av NH3 er 0.20M med ph-verdi på 12.2. I denne løsningen tilsetter vi 7.56 g NH4CL, og så skal vi beregne ph-verdien
(tror jeg har blandet noen tall og husker ikke helt oppgaven), men uansett er dette fremgangsmåten:
finne først antall mol NH4CL.
lage reaksjonslikning hvor tilsatt base reagerer med den syriske komponent i bufferen,
og trekke fra mol som [tex]\left [ HA \right ]=0.2-tilsatt[/tex], [tex]\left [ A^- \right ]=x[/tex]
(eller er dette kun med en sterk komponent)
og så til slutt sette inn i bufferlikningen?
Det første du gjør er å regne ut hvor mange mol $NH_4^+$ vi har ved pH 12.2. (Her kan du bruke bruke bufferlikningen og løse med hensyn på $HA$ ettersom det er den eneste ukjente.) Ettersom pH er 3-4 større en pKa så kan man anta at den er lik 0. Videre så regner ut hvor mange mol 7.56 g $NH_4Cl$ tilsvarer og legger til hvor mye du hadde i utgangspunktet. Ettersom vi antok den er 0 her så blir bare 0 + svaret du får. Videre er det bare å regne ut pH.
Minst spenning, ja!3. (liten avsporing)
men hvis man har fått oppgitt en elektrolyse med flere forskjellige stoffer, og skal bestemme hvilken reaksjon som lettest mulig vil bli elektrolysert, da antar jeg at man må finne det paret som har minst ellepotensialet fordi denne vil kreve minst strøm?
Ja hvis noen av cellene reagerer, vil selvfølgelig konsentrasjonen minke. Dog har jeg aldri sett slike oppgaver ved VGS.4.
Hvordan kan man vite om en elektrolytt i et elektroltysekar fortynnes underveis i en elektrolyse? Er det viss den deltar i en av reaksjonene (f.eks. ved anoden og katoden)?
-
Guest
hvorfor vil en Oh gruppe midt i et molekyl kontra på enden gjør at kokepunktet blir lavere?

