Page 1 of 1
Statistikk oppgavehjelp
Posted: 30/09-2022 09:44
by emmaeriiksen
Hei, får ikke til oppgave 1. b) og c) og lurte på om noen kan hjelpe meg å løse de?:)
Oppgave 1
En kjøper av jernmalm melder seg interessert i malmen som selskapet i oppgave 1 kan skipe ut. Prisen er svært avhengig av hvilken kvalitet jernmalmen har. Fra tilsvarende selskap som tar ut malm fra samme område i Sverige har vi at jernprosenten er 66 %. Vi antar at jern-prosenten er
Normalfordelt med forventningsverdi 𝜇 = 𝐸(𝑋) = 66 % og standardavvik 𝜎 = √𝑉𝑎𝑟(𝑋) = 2 % Vi lar X være en stokastisk variabel som angir antall prosent jern i en prøve på 1 kilo jernmalm.
a) Bestem sannsynligheten for at en tilfeldig prøve inneholder mer enn 68 % jern.
b) Du ønsker å være 95 % sikker på at en prøve skal inneholde et minimum (𝑋𝑚𝑖𝑛) av jern. Finn
ut hvilken jernprosent som innfrir dette kravet: 𝑃(𝑋 > 𝑋𝑚𝑖𝑛) = 95 %
Re: Statistikk oppgavehjelp
Posted: 30/09-2022 15:52
by jos
0.95-kvantilet, $Z_{0.95} = -1.64, $ innebærer at det er 95% sannsynlighet for at standardnormalfordelte $Z \geq -1.64$. Det betyr igjen at det er 95% sannsynlighet for at en tilfeldig kg malm fra området inneholder en større prosent jern enn $X_{min}$, som er $1.64 * 2$ standardavvik mindre enn forventningsverdien $66$%. Det vil si
$X_{min} = (66 - 2 * 1.64) = 62.7$%.
Re: Statistikk oppgavehjelp
Posted: 01/10-2022 11:26
by emmaeriiksen
Tusen takk! Vet du hvordan man løser c) oppgaven også?c)
Fordelingen til 𝑋 med forventning og standardavvik er basert på historiske data, men firmaet har gjort sine egne målinger i et forsøk på å dokumentere en høyere jernprosent en den som er lagt til grunn hittil. Det blir gjort en måling av 10 tilfeldige malmprøver og resultatet ble:
𝑋𝑖 : 69,0 67,6 67,0 63,2 66,8 63,1 66,3 65,4 64,2 69,0
c) Vi tar som før utgangspunkt i at jernprosenten 𝑋 er Normalfordelt, men at vi ikke kjenner forventningsverdi 𝜇 = 𝐸(𝑋) Vi antar at vi kan benytte samme standardavvik for 𝑋 som tidligere (𝜎 = 2). Bestem et 95 % konfidensintervall for den ukjente forventningsverdien μ.
Hjelp til utregning:

- DFBFD2D8-5C41-498F-A95F-9B753C86E8D1_4_5005_c.jpeg (20.29 KiB) Viewed 5554 times
Re: Statistikk oppgavehjelp
Posted: 01/10-2022 13:44
by Mattebruker
Yttergrensene på intervallet ligg 1.96 standardavvik frå [tex]\overline{x}[/tex]. Denne verdien får vi ved å " kutte " 2.5 % i kvar ende på normalfordelingskurva.
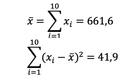
95 % konfidensintervall for [tex]\mu[/tex]: [tex]\overline{x}[/tex] [tex]\pm[/tex] 1.96[tex]\cdot[/tex][tex]\frac{\sigma }{\sqrt{10}}[/tex] = [tex]\frac{661.6}{10}[/tex] [tex]\pm[/tex] 1.96[tex]\cdot[/tex] [tex]\frac{2}{\sqrt{10}}[/tex] = 66.16 [tex]\pm[/tex] 1.24
Re: Statistikk oppgavehjelp
Posted: 01/10-2022 14:30
by jos
Oppgaven er å finne et 95% konfidensintervall for forventningen til den normalfordelte stokastiske variabelen X. Vi kjenner 10 observasjoner av X og danner punktestimatoren $ \bar\mu =\bar X $ ved $\frac{1}{10}\Sigma_{i = 1}^{10}x_i = 66.16$ Vi
kjenner standardavvik for X = 2%. Standardfeilen for $ \bar X $ blir da $\frac{\sigma}{\sqrt{n} } = \frac{2}{\sqrt{10}}$. Et 95% konfidensintervall gis ved $ [66.16 - 1.96 * \frac{2}{\sqrt{10}}, 66.16+ 1.96 * \frac{2}{\sqrt{10}}]$ der 1.96 er 2.5%-kvantilet.