Page 1 of 1
Taylorpolynomer og grenseverdier
Posted: 22/10-2020 19:14
by UnicornSpaceship
Hei, i dag prøvde jeg å bestemme grenseverdien nedenfor:

- Oppgave.png (5.7 KiB) Viewed 2434 times
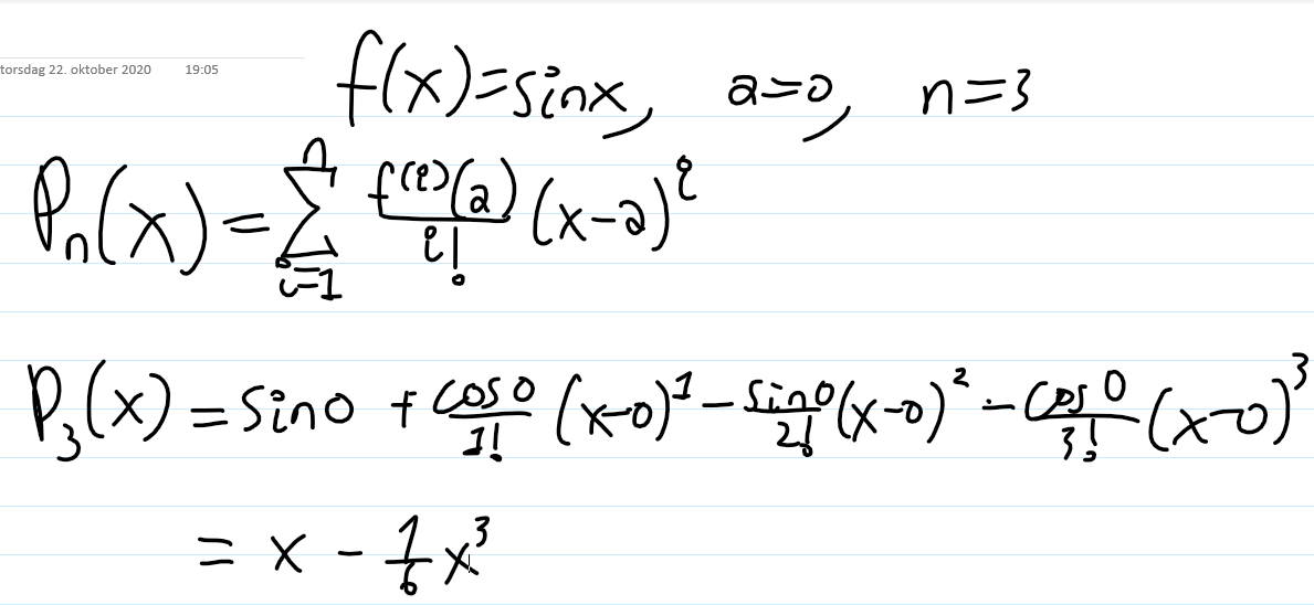
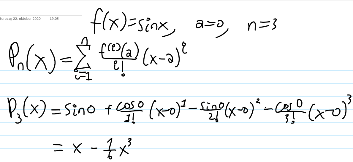
Lat som jeg er vil jeg helst ikke gjøre mer arbeid enn nødvendig, og tenkte derfor at det ville være nok å substituere sin(x) med et MacLaurin av tredje grad. Da fikk jeg følgende uttrykk for sin(x):

- Taylorpolynom.png (73.52 KiB) Viewed 2434 times
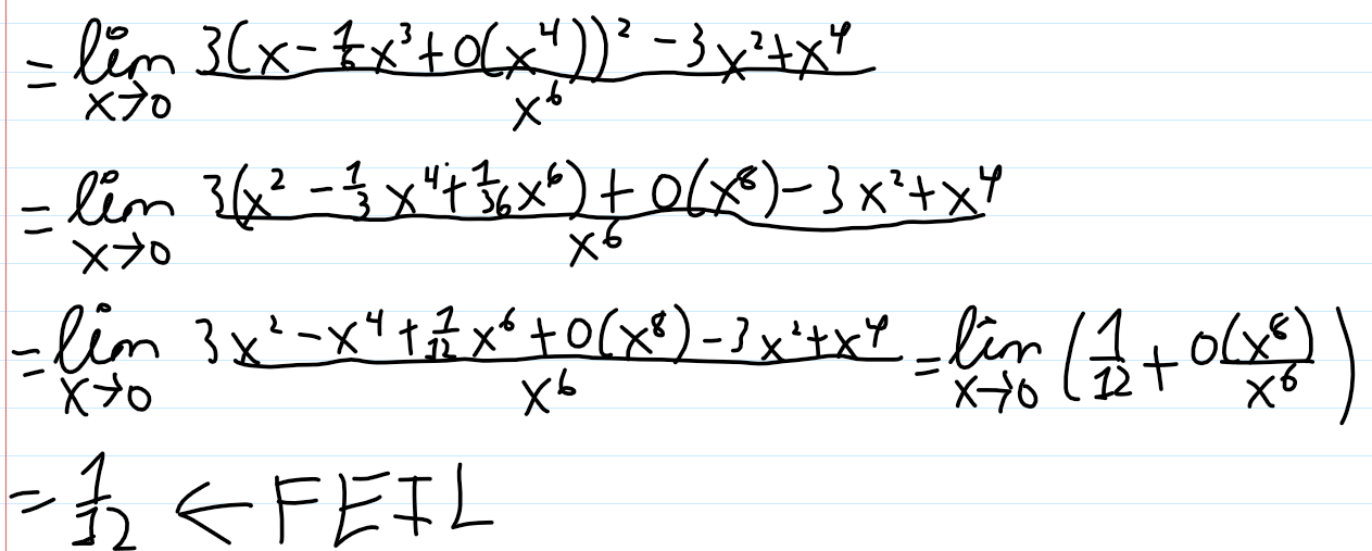
Dette satt jeg så inn i uttrykket for grenseverdien, sammen med O(x^4):

- Innsatt i grenseverdi.png (93.2 KiB) Viewed 2434 times
Innser at jeg forøvrig heller ikke er kjempestødig på føring med store O, men det virkelige spørsmålet jeg lurer på her er hvorfor det ikke holder med tredje grad her (foreleseren mente vi skulle bruke et av sjette grad), for svaret blir jo feil. Videre hadde jeg også satt veldig pris på eventuelle tanker om hvordan man skal gå frem for å velge grad til disse polynomene

Re: Taylorpolynomer og grenseverdier
Posted: 22/10-2020 20:36
by Mattebruker
Tilstrekkeleg å ta med dei tre første ledda i sinus-rekka for å få tak i grenseverdien. Da får vi
lim( x [tex]\rightarrow[/tex] 0 )[tex]\frac{3sin^{2}x - 3x^{2} + x^{4}}{x^{6}}[/tex] = [tex]\frac{2}{15}[/tex]
Re: Taylorpolynomer og grenseverdier
Posted: 23/10-2020 10:40
by Arthur
Her er én måte å tenke på stor-O-notasjon: Vi har
$$
\sin(x)= x -\frac{x^3}6 + x^5\cdot g(x)
$$
hvor funksjonen $|g(x)|$ ikke blir uendelig stor når $x\to 0$ (den er begrenset). Hele leddet $x^5\cdot g(x)$ forkortes ofte til $O(x^5)$, men vi kan la det stå, så er vi litt mer konkrete (som du selv sier, er du ikke så vant til stor-O-notasjon; dette utretter akkurat det samme, men du kan regne som du er vant til). Merk også at vi kunne ha skrevet $x^4\cdot g(x)$, eller $O(x^4)$, men da hadde vi kastet bort gratis informasjon som kan bli relevant.
Men vi er jo ikke egentlig interesserte i $\sin(x)$, vi er interessert i $\sin^2(x)$. Så vi regner ut det ut fra uttrykket over:
$$
\sin(x) = x^2 - 2\frac{x^4}6 + x^6\left(2g(x) + \frac1{36}\right) + 2x^8\frac{g(x)}{6}
$$
Setter vi inn dette i brøken vi faktisk er interessert i, så får vi
$$
\frac{3\sin^2(x) - 3x^2 + x^4}{x^6} = \frac{3x^6\left(2g(x) + \frac1{36}\right) + x^8\cdot g(x)}{x^6}\\
= 6g(x) + \frac1{12} - x^2g(x)
$$
og vi kan se at om vi er ute etter grenseverdien når $x\to 0$, så må vi vite mer om $g(x)$. At $g(x)$ ikke blir uendelig stor nær $0$ betyr at $x^2$-leddet her forsvinner, men $6g(x)$ må vi fortsatt finne ut av.
Dette betyr at vi ikke hadde med mange nok ledd i sinus-rekka vår. Vi kan nå enten sette inn at vi vet at $g(x) = \frac{1}{120} + x^2\cdot h(x)$ for en eller annen funksjon $h(x)$ (som heller ikke blir uendelig stor nær $0$), og sette det inn, og få svaret. Eller vi kan ta hele greia fra toppen igjen, med flere ledd. Jeg vet hvilken tilnærming jeg foretrekker.
Re: Taylorpolynomer og grenseverdier
Posted: 23/10-2020 11:44
by Mattebruker
Viser korleis eg kom fram til svaret i mitt første innlegg:
sinx = x - x[tex]^{3}[/tex]/3! + x[tex]^{5}[/tex]/5[tex]![/tex] + restpolynom ( orden [tex]\geq[/tex] 7 )
3 sin[tex]^{2}[/tex]x - 3x[tex]^{2}[/tex] + x[tex]^{4}[/tex] = 3( x - x[tex]^{3}[/tex]/3! +x[tex]^{5}[/tex]/5! )[tex]^{2}[/tex] - 3x[tex]^{2}[/tex] + x[tex]^{4}[/tex] + ledd av orden [tex]\geq[/tex]8 = [tex]\frac{2}{15}[/tex] x[tex]^{6}[/tex] + ledd av høgre orden( [tex]\geq[/tex] 8 )
Re: Taylorpolynomer og grenseverdier
Posted: 23/10-2020 22:28
by UnicornSpaceship
Takk for nyttig oppklaring Arthur! Tror det ga mer mening nå, eventuelt får jeg bare slå meg til ro med en "the more the merrier"-holdning når det kommer til disse polynomene
Enig med deg Mattegjest om at det er tilstrekkelig med tre ledd, vi snakket nok bare litt om hverandre. For med mitt taylopolynom av tredje grad holder jo ikke, mens ditt taylorpolynom av femte/sjette grad med tre ledd, jo gjør det.
