Page 1 of 1
Skjæring mellom to linjer
Posted: 02/04-2019 12:43
by pos
Hvordan finner jeg koordinatene til skjæringspunktet mellom to linjer når jeg har den ene oppgitt som parmeterfremstilling, den andre bare som y = x - 2?
Re: Skjæring mellom to linjer
Posted: 02/04-2019 14:28
by Janhaa
pos wrote:Hvordan finner jeg koordinatene til skjæringspunktet mellom to linjer når jeg har den ene oppgitt som parmeterfremstilling, den andre bare som y = x - 2?
oppgi parmeterfremstillinga til linja...
Re: Skjæring mellom to linjer
Posted: 02/04-2019 15:31
by UnicornSpaceship
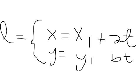
]Nå kjenner ikke jeg parameterfremstillinga til linja, men fra den skal du kunne uttrykke linja på formen y=mx+c.
Hvis man har en generell parameterfremstilling på formen:

- Parameterframstilling.PNG (7.98 KiB) Viewed 1587 times
Kan man bruke ettpunktsformelen til å finne et uttrykk for linja.

- Ettpunktsformelen.PNG (1.06 KiB) Viewed 1587 times
Her er x_1 og y_1 våre faste punkter, mens stigningstallet k= b/a (fra parameterfremstillingen).
Når du har linjene på samme form, kan du sette uttrykkene lik hverandre og løse for x. Og så finne den samsvarende y-verdien. Da finner du skjæringspunktet.
Re: Skjæring mellom to linjer
Posted: 02/04-2019 20:49
by pos
Ja, det fungerte! Tusen takk!