Page 1 of 1
Geogebra: trigonometriske likninger - hva gjøre jeg feil?
Posted: 31/10-2017 20:28
by Kovalevskaya

- Geogebra
- Skjermbilde 2017-10-31 kl. 20.20.41.png (17.25 KiB) Viewed 1705 times
Har skrevet inn dette, trykker på x= , for å løse, men... kommer bare opp?/skjer ikke så mye ...
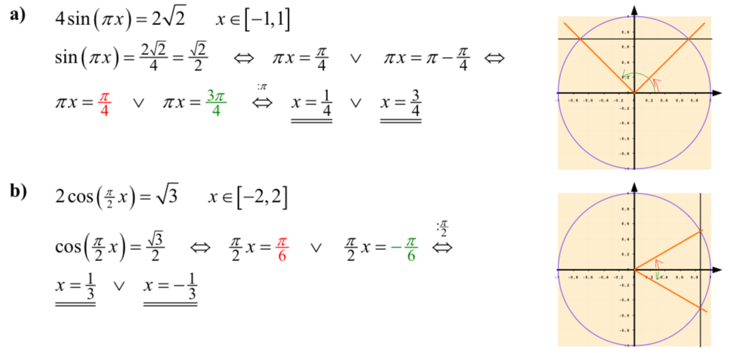
Og lurer også på noe annet angående trigonometriske likninger:

- trig.likninger.
- Skjermbilde 2017-10-31 kl. 19.24.40.png (108.61 KiB) Viewed 1705 times
i a) så går begge vinklene mot klokka, som "vanlig" (eller som jeg har vært vant med hittil i hvert fall). mens i b) går den ene MED klokka...Når jeg løste oppgaven tok jeg 2pi-(pi/6), Fikk den ene løsningen riktig i hvertfall (vinkelen pi/6)
Re: Geogebra: trigonometriske likninger - hva gjøre jeg feil
Posted: 31/10-2017 21:18
by Guest
Jeg var nok ferdig med vgs før geogebra, men prøv å skrive $\pi*x$ ikke $\pi x$.
For det andre spørsmålet ditt er sinus symmetrisk om y aksen og cosinus er symmetrisk om x aksen.
Det betyr at $sin(45 ^\circ) = sin (45 ^\circ+90 ^\circ)$ (alternativt $sin(45 ^\circ) = -sin (-45 ^\circ)$ og $cos (45 ^\circ) = cos(-45 ^\circ)$ (alternativt $cos (45 ^\circ) = -cos(45 ^\circ + 90 ^\circ)$
Re: Geogebra: trigonometriske likninger - hva gjøre jeg feil
Posted: 31/10-2017 22:06
by Kovalevskaya
Skjer fortsatt lite.. Har fulgt en instruksjon jeg fant på nettet, får vel bare se litt mer rundt. Angående geogebra og VGS-matte generelt; hva mener dere her inne om at eksamener har blitt såpass spesifiserte at man MÅ bruke geogebra? (mye gjennomgående som "bruk CAS til ..." osv. i eksamensoppgaver). Utrolig knotete for privatister, og samtidig lite motiverende da en vet at Geogebra ikke akkurat er en slager på universitetene (altså, man vil aldri få bruk for det igjen). Får man i hvert fall litt poeng om en kommer frem til riktig svar uten bruk av geogebra? (når det er spesifisert at man skal bruke det).