Page 1 of 3
Kjemi 2 eksamen H2016
Posted: 19/11-2016 12:39
by Janhaa
Re: Kjemi 2 eksamen H2016
Posted: 19/11-2016 13:20
by Kjemikern
Janhaa wrote:REA3012-Kjemi2-H16.pdf
Er det bare meg eller var eksamen veldig lett iår?
Re: Kjemi 2 eksamen H2016
Posted: 19/11-2016 14:22
by kred
har noen laget fasit til eksamen? hadde satt pris på det!
Re: Kjemi 2 eksamen H2016
Posted: 19/11-2016 14:53
by Kjemikern
kred wrote:har noen laget fasit til eksamen? hadde satt pris på det!
Hvis jeg får tid så skal jeg lage, men lover ingenting!
Re: Kjemi 2 eksamen H2016
Posted: 19/11-2016 15:40
by Kjemimannen175
Hadde også satt veldig pris på om noen kunne laget et løsningsforslag til denne.
Hva fikk dere på siste oppgaven, g protein i 100 g melk? 3.3g i 100 g melk?
Re: Kjemi 2 eksamen H2016
Posted: 19/11-2016 15:55
by Janhaa
Kjemikern wrote:Janhaa wrote:REA3012-Kjemi2-H16.pdf
Er det bare meg eller var eksamen veldig lett iår?
Er nedsnødd i eksamener nu.
Men har kost meg med multiple choice oppgavene, og de var greie...
Re: Kjemi 2 eksamen H2016
Posted: 19/11-2016 18:48
by Kjemikern
Del 1 Oppgave 2:
a)
1)

- Skjermbilde 2016-11-19 kl. 18.15.51.png (9 KiB) Viewed 15716 times
2)

- Skjermbilde 2016-11-19 kl. 18.21.10.png (13.19 KiB) Viewed 15716 times
3)

- Skjermbilde 2016-11-19 kl. 18.44.17.png (26.37 KiB) Viewed 15716 times
b)
1) pH i en buffer er avhengig av forholdet mellom base og syre. Når vi fortynner buffereren, fortynnes både basen og syren. pH endres ikke, men bufferkapasiteten endres.
2) Sitronsyre $C_3H_4(COOH)_3$ har en $pKa_1=3.06$ Vi ønsker å lage en buffer $pH=3.4$ Dette ligger innen for bufferomådet. Ettersom pH>pKa må vi ha mer av basiske komponenten som er $C_3H_4(COOH)_2COO^-$.
3) Har vi lik konsentrasjon mellom $[HA]$ og $[A^-]$ vil pH være lik $pKa$. Ettersom vi ønsker at pH i bufferen skal være på 3.4 må $[A^-]>[HA]$.
c)
1)

- Skjermbilde 2016-11-19 kl. 18.35.29.png (11.96 KiB) Viewed 15716 times
2) Molekylinonet m/z synker med 2 når vi analyserer aldehydet.
3) [tex]Retinyletanatat \xrightarrow[Reaksjon1]{Hydrolyse} Retinol\xrightarrow[Reaksjon2]{Oksidasjon}Retinal[/tex]
Re: Kjemi 2 eksamen H2016
Posted: 19/11-2016 20:51
by Kjemimannen175
Vil bare påpeke at på a3) så er det 3 kirale c-atomer. Det skal være en nh2 gruppe helt til venstre nede
Re: Kjemi 2 eksamen H2016
Posted: 19/11-2016 21:20
by Kjemikern
Kjemimannen175 wrote:Vil bare påpeke at på a3) så er det 3 kirale c-atomer. Det skal være en nh2 gruppe helt til venstre nede
Stemmer!
Re: Kjemi 2 eksamen H2016
Posted: 20/11-2016 13:04
by Kjemimannen175
Er det noen som kan lage et forslag til flervalgsoppgavene på del 1? Også Del 2. Hadde satt veldig pris på det
Re: Kjemi 2 eksamen H2016
Posted: 20/11-2016 13:59
by Kjemikern
Oppgave 3.
a)
Leser av kp fra tabellen.
Fraksjon 1: Heks-1-en, 2-metyl-propanal, Metanol,og propanon, etylmetanat.
Fraksjon 2: Sykloheksen
Fraksjon 3: Heptan, Etansyre, og Propansyre
b) Addering av $Br_2$ påviser alken(vis gjerne med reaksjonslikning). Påviser sykloheksen
c) Negativ reaksjon med $Br_2$ kan vi eliminere vekk Heks-1-en. Gjør så en analyse med "2,4-di", positiv reaksjon påviser karbonyl gruppen. Negativ reaksjon påviser Alkoholen.
Så gjennomfører vi en Tollenstest. Observerer vi et sølvspeil har vi påvist aldehydet, negativ reaksjon påviser ketonet. (Alternativ Fehllingstest)
d)
Heptan er den eneste som har molekylmasse 100. Altså er det dette som er i fraksjon 3.
Hoved toppen på 43: $CH_3 CH_2CH_2^+$
e) Ved proton NMR får vi opp 3 topper, hvilket indikerer på 3 forskjellige miljøer.
Vi kan med engang observere er høyt skift på 8.0 ppm. Denne toppen ligger i downfield, pga av desheilding, noe som indikerer på et aldehyd, eller en ester gruppe.
Ettersom vi har kun ett aldehyd i fraksjon 1 kan vi analysere dette.
$CH_3-CH(CH_3)-COH$ Vi ser at molekylet har tre miljøer, men alle miljøene passer ikke. I aldehydet så skal $CH$ gruppen bli splittet i en septett, noe vi ikke kan se, ergo har vi ikke aldehydet men esteren.
Etylmetanat: $HCOO-CH_2-CH_3$. Igjen ser vi 3 miljøer.
Topp A Er $CH_3$ gruppen, den har 2 hydrogen naboer og skal være splittet i en triplett noe den gjør.
Topp B er $CH_2$ gruppen og har 3 hydrogen naboer, altså skal den være splittet i en kvartett, noe den den gjør.
Topp C er $HCOO-$ gruppen som er koblet til O-atomet, altså er den deshieldet, hvilket fører til at vi har fått det høye skiftet. Denne har ingen H-naboer og skal derfor være splittet i en singlett noe den gjør.
Stoffet 1 er Etylmetanat.
Re: Kjemi 2 eksamen H2016
Posted: 20/11-2016 14:44
by Kjemimannen175
Flott, vi er enige i svarene så langt

lover godt!
Re: Kjemi 2 eksamen H2016
Posted: 20/11-2016 15:42
by Kjemikern
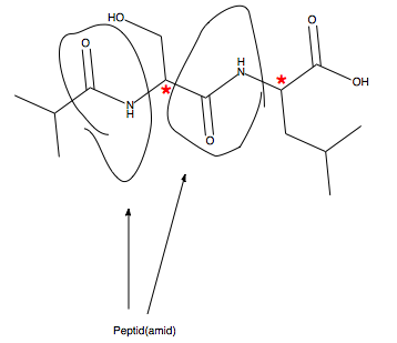
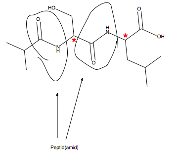
Oppgave 5:
a) Figuren viser Lysin ved pH 13. Ettersom som karboksylsyren er deprotonert og amin gruppene også deprotonert, ligger det på sitt mest basiske form.
b)
Leser av tabellen 0.75 absorbans gir 35 mikrogram protein/mL. Ettersom melken er fortynnet ha vi 1000 ganger mer i kartongen.
$35µg/mL \cdot 1000=35000 µg/mL=0.035g/mL=0.00035g/100mL$
c)
$n_b=\frac{1,44g}{142g/mol}=0.0101 mol$
$n_s\frac{0.24g}{136g/mol}=0.00766 mol$
$pH= 7.21 + \lg\frac{0.0101}{0.00766}=7.33$
Sur komponent: $H_2PO_4^-$ Basisk: $HPO_4^{2-}$ Ikke skriv saltet, det gir feil svar.
d) Proteiner består av peptidbindinger. Ettersom peptidbindinger inneholder nitrogen kan man anslå mulige nitrogeninnholdet.
Matvarer har forskjellige peptidbindinger. Ettersom noen aminosyrer er større en andre, er det også logisk at forskjellige matvarer har forskjellige multiplisering verdi.
e)
$n_{overskudd HCl}19.1 mL * 0.1M= 0.00191 mol$ Overskudd av HCl
I 50 mL kolben hadde vi $50 mL* 0.1M =0.005 mol$ Det betyr at $n_{NH_3}=0.005-0.00191=0.00309mol$
Nitrogen tilsvarer 82% av $NH_3$ Så dette betyr at $m_N=0.00309*16.026 g/mol= 0.0495*0.82=0.0407g$
$m_{protein}=0.0407*6.3=0.256 g$ MAO. $0.256g/8.25g$ Antall gram protein pr 100g melk tilsvarer 0.0211g pr 100 g melk.
Alternativt(som også er mer riktig):
Nå står det ingenting om Haber reaksjonen, altså $N_2 + 3H_2 \rightarrow 2NH_3$, og tror det er litt vanskelig å tenke seg fram til den ettersom det kun står: "Først ble nitrogen i melken overført til ammoniakkgass"
Men hvis man har tatt hensyn til det så er det heller ikke feil.
Vi ser at forholdet mellom $NH_3$ og $N_2$ er 2:1, altså har vi halvparten så mange mol som $NH_3$ Dette tilsvarer:$n_{N_2}= 0.00155 mol.$ $m_{N_2}= 0.0433g$
$m_{protein}= 6.3*0.0433= 0.27g$ pr 8.25 g melk. Dette tilsvarer: 0.0226g per 100 gram melk.
Re: Kjemi 2 eksamen H2016
Posted: 05/12-2016 22:48
by Guest
Hvor finner man halvreaksjonen for HNO3 | NO i oppgave 4? Finner ikke denne i tabellen.. fett om noen kunne fiksa fasit på denne oppgaven.. forbereder meg til heldags..
Re: Kjemi 2 eksamen H2016
Posted: 07/12-2016 15:30
by gjest2
bump