Page 1 of 1
Likning med brøk
Posted: 07/10-2015 19:24
by CColumbus

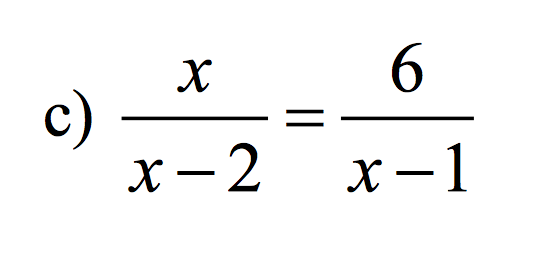
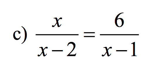
- Oppgaven
- Skjermbilde 2015-10-07 kl. 19.22.58 1.png (15.23 KiB) Viewed 1766 times
Kan noen hjelpe meg med denne? På forhånd takk!
Re: Likning med brøk
Posted: 07/10-2015 20:18
by Andreas345
[tex]\frac{x}{x-2}=\frac{6}{x-1} \Rightarrow x\cdot (x-1) = 6 \cdot (x-2)[/tex]
Re: Likning med brøk
Posted: 07/10-2015 22:12
by CColumbus
Var ikke verre nei.. Takk
