Page 1 of 1
Løse likning
Posted: 11/09-2013 21:57
by Rakett
Ok..jeg er rimelig ny på dette, og har ordna følgende likning:

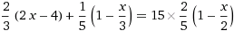
- øving.gif (1.42 KiB) Viewed 1943 times
Til: 19x/15 - 37/15= 6 - 3x (?) Usikker på om rett.
Dersom rett, kjempeflott! Fordi jeg har sånn sirka 10 til...satser på at de går greit
Neste steg er å finne x, så kunne noen hjulpet med denne i likning over (gjerne med fremgangsmåte) slik at jeg kan klare det selv på resterende 10, så hadde det gjort kapitlene fremover mye enklere

Re: Løse likning
Posted: 11/09-2013 22:37
by Janhaa
multipliser gjennom hele likninga di med 30 (dvs på begge sider)
lykke til :=)
Re: Løse likning
Posted: 11/09-2013 22:38
by Rakett
Den tog eg sje....
Re: Løse likning
Posted: 12/09-2013 10:23
by javid2013
Du må multiplise gjennom hele likninga di med 30:
40x-80+6-2x=180-90x
etterpå:
40x+90x-2x=180+80-6
så:
128x=254
så:
x=254/128=1,984

Re: Løse likning
Posted: 12/09-2013 11:08
by Aleks855
javid2013 wrote:Du må multiplise gjennom hele likninga di med 30:
40x-80+6-2x=180-90x
etterpå:
40x+90x-2x=180+80-6
så:
128x=254
så:
x=254/128=1,984

Småviktig at du ikke bruker likhetstegn på slutten. $\displaystyle \frac{254}{128}$ er faktisk ikke lik 1.984. Det er 1.984375, som ikke er helt det samme. Det burde brukes tilnærmingstegn i stedet. Altså $\displaystyle \frac{254}{128} \approx 1.984$
Re: Løse likning
Posted: 12/09-2013 12:10
by compound
Slik gjorde jeg det
2/3∗(2x−4)+1/5∗(1−x/3=15∗2/5∗(1−x/2) ∗15
5∗(2x−4)+3∗(1−x/3)=15∗6∗(1−x/2)
10x−20+3−x=90−45x
54x=90+20-3
54x=107
x=1,9814