Page 5 of 12
Re: Surt salt?
Posted: 28/05-2016 20:18
by Guest
Kjemikern wrote:
Jo det spørs hva pH er. Nå tar jeg det i hodet og antar at pH i HF blir ca 2.1
Du vet at bufferområde er gitt ved pka +- 1 pH
pKa til HF er 3.4. da pH ligger utenfor bufferområde, er dette ikke en buffer.
[/quote]
Oja, så det er sånn at man får danner en buffer ved å blande en svak syre i vann dersom syren ikke er alt for svak??
Så jeg må først rekne ut hvilken pH syren vil få når den reagerer med vann, og så må jeg sammenligne med pKa?
Om syren reagerer med base, så blir jo den korr.basen automatisk dannet - så da slipper jeg vel å tenke på det? Da må jeg vel bare tenke på at konsentrasjonen av tilsatt base må være lavere enn konsentrasjonen av syre?
Re: Surt salt?
Posted: 28/05-2016 20:20
by stimorolextra
Gjest wrote:Kjemikern wrote:
Jo det spørs hva pH er. Nå tar jeg det i hodet og antar at pH i HF blir ca 2.1
Du vet at bufferområde er gitt ved pka +- 1 pH
pKa til HF er 3.4. da pH ligger utenfor bufferområde, er dette ikke en buffer.
Oja, så det er sånn at man får danner en buffer ved å blande en svak syre i vann dersom syren ikke er alt for svak??
Så jeg må først rekne ut hvilken pH syren vil få når den reagerer med vann, og så må jeg sammenligne med pKa?
Om syren reagerer med base, så blir jo den korr.basen automatisk dannet - så da slipper jeg vel å tenke på det? Da må jeg vel bare tenke på at konsentrasjonen av tilsatt base må være lavere enn konsentrasjonen av syre?[/quote]
Men det står bare oppgitt at det er 100 mL H2O. Hvordan skal jeg da regne ut pH? Jeg vet jo ikke konsentrasjonen av vann ettersom stoffmengden til vann ikke er oppgitt?
Re: Surt salt?
Posted: 28/05-2016 21:28
by Kjemikern
stimorolextra wrote:
Oja, så det er sånn at man får danner en buffer ved å blande en svak syre i vann dersom syren ikke er alt for svak??
Så jeg må først rekne ut hvilken pH syren vil få når den reagerer med vann, og så må jeg sammenligne med pKa?
Om syren reagerer med base, så blir jo den korr.basen automatisk dannet - så da slipper jeg vel å tenke på det? Da må jeg vel bare tenke på at konsentrasjonen av tilsatt base må være lavere enn konsentrasjonen av syre?
Men det står bare oppgitt at det er 100 mL H2O. Hvordan skal jeg da regne ut pH? Jeg vet jo ikke konsentrasjonen av vann ettersom stoffmengden til vann ikke er oppgitt?
Nå må du ikke gjøre elementære feil. Husk å tilsette 100 mL vann blir som å fortynne den. Du har 1 mol/L 0.100 mL HF I mol er dette 0.100 mol. Det nye volumet er nå 200 mL. Konsentrasjonen av HF blir derfor 0.500 mol/ L. Regn ut pH nå, ligger den innenfor pKa er det en buffer.
Re: Surt salt?
Posted: 28/05-2016 22:39
by stimorolextra
Kjemikern wrote:stimorolextra wrote:
Oja, så det er sånn at man får danner en buffer ved å blande en svak syre i vann dersom syren ikke er alt for svak??
Så jeg må først rekne ut hvilken pH syren vil få når den reagerer med vann, og så må jeg sammenligne med pKa?
Om syren reagerer med base, så blir jo den korr.basen automatisk dannet - så da slipper jeg vel å tenke på det? Da må jeg vel bare tenke på at konsentrasjonen av tilsatt base må være lavere enn konsentrasjonen av syre?
Men det står bare oppgitt at det er 100 mL H2O. Hvordan skal jeg da regne ut pH? Jeg vet jo ikke konsentrasjonen av vann ettersom stoffmengden til vann ikke er oppgitt?
Nå må du ikke gjøre elementære feil. Husk å tilsette 100 mL vann blir som å fortynne den. Du har 1 mol/L 0.100 mL HF I mol er dette 0.100 mol. Det nye volumet er nå 200 mL. Konsentrasjonen av HF blir derfor 0.500 mol/ L. Regn ut pH nå, ligger den innenfor pKa er det en buffer.
Så jeg finner konsentrasjonen av H3O^+ ved å sette den korr. basen lik x og H3O+ lik x?
Re: Surt salt?
Posted: 28/05-2016 22:42
by stimorolextra
Her er et bilde av en polymer:
http://bildr.no/image/SDFqdzIy.jpeg
Hvordan kan jeg avgjøre hva som er monomeren? Jeg vet jo ikke om det er en kondensasjons-eller addisjonspolymer.....
Re: Surt salt?
Posted: 28/05-2016 22:53
by Kjemikern
stimorolextra wrote:
Så jeg finner konsentrasjonen av H3O^+ ved å sette den korr. basen lik x og H3O+ lik x?
Regn ut pH som du har lært ved svake syrer.
Re: Surt salt?
Posted: 28/05-2016 22:53
by Kjemikern
stimorolextra wrote:Her er et bilde av en polymer:
http://bildr.no/image/SDFqdzIy.jpeg
Hvordan kan jeg avgjøre hva som er monomeren? Jeg vet jo ikke om det er en kondensasjons-eller addisjonspolymer.....
Hva er kravet dersom det er er en kondensasjonsreaksjon?
Re: Surt salt?
Posted: 28/05-2016 23:00
by stimorolextra
Kjemikern wrote:stimorolextra wrote:Her er et bilde av en polymer:
http://bildr.no/image/SDFqdzIy.jpeg
Hvordan kan jeg avgjøre hva som er monomeren? Jeg vet jo ikke om det er en kondensasjons-eller addisjonspolymer.....
Hva er kravet dersom det er er en kondensasjonsreaksjon?
Bindingene må kunne dannes i begge endene av monomeren! Så da bør vel monomeren ha et "reaktivt" molekyl i endene som OH-etc (eller?). Så her går jeg ut fra at det er en addisjonsreaksjon da, og da vet jeg at monomeren må ha en dobbeltbinding.
Re: Surt salt?
Posted: 29/05-2016 00:36
by Kjemikern
stimorolextra wrote:Kjemikern wrote:stimorolextra wrote:Her er et bilde av en polymer:
http://bildr.no/image/SDFqdzIy.jpeg
Hvordan kan jeg avgjøre hva som er monomeren? Jeg vet jo ikke om det er en kondensasjons-eller addisjonspolymer.....
Hva er kravet dersom det er er en kondensasjonsreaksjon?
Bindingene må kunne dannes i begge endene av monomeren! Så da bør vel monomeren ha et "reaktivt" molekyl i endene som OH-etc (eller?). Så her går jeg ut fra at det er en addisjonsreaksjon da, og da vet jeg at monomeren må ha en dobbeltbinding.
Ja, kondensasjonreaksjoner gir enten polyester eller polyamider. Så da er det helt riktig som du sier at det må ha vært dobbelt binding et sted. Klarer du finne denne? Hvilket struktur er det som kommer igjen og igjen? Prøv deg fram litt.
Re: Surt salt?
Posted: 29/05-2016 11:00
by stimorolextra
Kjemikern wrote: Ja, kondensasjonreaksjoner gir enten polyester eller polyamider. Så da er det helt riktig som du sier at det må ha vært dobbelt binding et sted. Klarer du finne denne? Hvilket struktur er det som kommer igjen og igjen? Prøv deg fram litt.
Amid, er det det samme som peptidbinding? Eller? Hva er forskjellen mellom polyamider og peptider?
Jeg synes det er vanskelig å forstå addisjonspolymerer. Det ser ut som at monomeren har en metylgruppe festet til seg. Men det er sikkert feil.
Er det ikke slik at dobbeltbindingen må sitte på det samme C-atomet som binder seg til C-atomet i neste monomer?
Re: Surt salt?
Posted: 29/05-2016 11:11
by stimorolextra
Hvor mange topper vil but-2-yn gi i et H-NMR-spekter?
Jeg vil tro at det bare er 1 topp ettersom vi kun har to hydrogenmiljøer og de to miljøene er helt like?
Re: Surt salt?
Posted: 29/05-2016 11:30
by Kjemikern
stimorolextra wrote:
Amid, er det det samme som peptidbinding? Eller? Hva er forskjellen mellom polyamider og peptider?
Jeg synes det er vanskelig å forstå addisjonspolymerer. Det ser ut som at monomeren har en metylgruppe festet til seg. Men det er sikkert feil.
Er det ikke slik at dobbeltbindingen må sitte på det samme C-atomet som binder seg til C-atomet i neste monomer?
Peptidbindinger er amid bindinger($R-CO-NH-R'$). Da aminosyre kjeder pleier å ha ca. 50 peptidbindinger. Nylon som er et polyamid, har x antall peptidbindinger.
stimorolextra wrote:Hvor mange topper vil but-2-yn gi i et H-NMR-spekter?
Jeg vil tro at det bare er 1 topp ettersom vi kun har to hydrogenmiljøer og de to miljøene er helt like?
Korrekt, ettersom miljøene er helt identiske er det kun et miljø, hvilket gir et signal i NMR.
Re: Surt salt?
Posted: 29/05-2016 11:41
by stimorolextra
Når jeg skal navngi et kjemisk stoff som består av ulike funksjonelle grupper (alkohol, syre og benzenring i dette tilfellet), så vet jeg jo at navnet skal ende på -syre (ettersom syren er prioritert). Når det gjelder alkoholen, skal jeg sette på -OL-SYRE eller skal det hete hydroksy......syre?
Re: Surt salt?
Posted: 29/05-2016 11:46
by Kjemikern
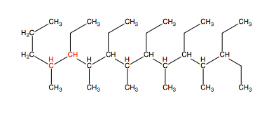
Jeg liker å tegne opp molekylet for å studere det enklere(Du trenger ikke å tegne opp hele):

- Skjermbilde 2016-05-29 kl. 11.35.07.png (18.03 KiB) Viewed 8951 times
Ettersom at vi resonnerte oss fram til at det må ha vært addisjonsreaksjoner må det ha vært en $R-CH=CH-R'$
Et sted på molekylet(rød på bildet).
Da klarer vi å identifisere monomeren til dette:

- Skjermbilde 2016-05-29 kl. 11.45.39.png (10 KiB) Viewed 8951 times
Vi ser at monomeren er pent-2-en
Re: Surt salt?
Posted: 29/05-2016 11:49
by Kjemikern
stimorolextra wrote:Når jeg skal navngi et kjemisk stoff som består av ulike funksjonelle grupper (alkohol, syre og benzenring i dette tilfellet), så vet jeg jo at navnet skal ende på -syre (ettersom syren er prioritert). Når det gjelder alkoholen, skal jeg sette på -OL-SYRE eller skal det hete hydroksy......syre?
Som du sier så blir syren prioritert først. Da alkoholen ikke lenger dominerer molekylet endrer det seg til hydroksy.
eks:
$CH_3-CH_2-CH(OH)-CH_2-COOH$
3-hydroksy-pentansyre