Page 2 of 2
Re: Veien til R2-eksamen - privatist
Posted: 22/10-2022 19:25
by Styrmannen
Regnestykke nr. 2 også; burde ikke iallefall y i likning 2 bli et heltall?

- Matte2.jpg (1.12 MiB) Viewed 5134 times
Re: Veien til R2-eksamen - privatist
Posted: 22/10-2022 19:56
by Aleks855
Samme feil. Når du ganger gjennom likninga med 2, så ganger du det bare med det ene leddet på høyre side.

Re: Veien til R2-eksamen - privatist
Posted: 22/10-2022 21:40
by SveinR
Det er forøvrig heller ikke noe i veien for at løsningene kan bli brøker - de behøver ikke bli heltall.
Re: Veien til R2-eksamen - privatist
Posted: 23/10-2022 08:45
by Styrmannen
Aleks855 wrote: 22/10-2022 19:56
Samme feil. Når du ganger gjennom likninga med 2, så ganger du det bare med det ene leddet på høyre side.
Tusen takk, det gikk opp et lite lys for meg og nå fikk jeg det riktig! Forstod ikke det var alle leddene, det var fint med den oppklaringen, fikk løst det nå imorges.

Re: Veien til R2-eksamen - privatist
Posted: 23/10-2022 08:46
by Styrmannen
SveinR wrote: 22/10-2022 21:40
Det er forøvrig heller ikke noe i veien for at løsningene kan bli brøker - de behøver ikke bli heltall.
Det får jeg huske på.
Re: Veien til R2-eksamen - privatist
Posted: 28/10-2022 12:37
by Styrmannen
Hei igjen,
jeg driver på med andregradslikninger nå;

- Andregradslikninger spm1.PNG (19.01 KiB) Viewed 5054 times
Da er konstantene:
a = 1
b = -4
c = 3
Jeg har lagt med regnestykket jeg har gjort på papir under, om det er litt uoversiktlig så beklager jeg det, men mine spm er;
Siden b = -4 så blir det +4 i teller foran kvadratrottegnet, riktig? (formelen er -b, minus og minus blir +)
Hvorfor blir ikke b under kvadratroten -4? (Jeg vet det ikke går å ta kvadratroten av minustall)
Om jeg legger inn 4 foran kvadratrottegnet i teller og 4 under kvadratroten i teller så får jeg riktig svar men b er jo -4? Hva gjør jeg feil?

- Andregradslikninger spm1 kladd.jpg (1.38 MiB) Viewed 5054 times
Re: Veien til R2-eksamen - privatist
Posted: 28/10-2022 13:01
by Aleks855
Siden b = -4 så blir det +4 i teller foran kvadratrottegnet, riktig? (formelen er -b, minus og minus blir +)
Riktig. Du får $4 \pm \sqrt \ldots$
Hvorfor blir ikke b under kvadratroten -4? (Jeg vet det ikke går å ta kvadratroten av minustall)
Vi skal ha $b^2 = (-4)^2 = 16$. Når vi opphøyer et negativt tall i andre potens, så er det som om vi gjorde det med det positive tallet. Altså $(-4)^2 = 4^2 = 16$ uansett fortegn på $b$.
Re: Veien til R2-eksamen - privatist
Posted: 29/10-2022 19:10
by Styrmannen
Aleks855 wrote: 28/10-2022 13:01
Siden b = -4 så blir det +4 i teller foran kvadratrottegnet, riktig? (formelen er -b, minus og minus blir +)
Riktig. Du får $4 \pm \sqrt \ldots$
Hvorfor blir ikke b under kvadratroten -4? (Jeg vet det ikke går å ta kvadratroten av minustall)
Vi skal ha $b^2 = (-4)^2 = 16$. Når vi opphøyer et negativt tall i andre potens, så er det som om vi gjorde det med det positive tallet. Altså $(-4)^2 = 4^2 = 16$ uansett fortegn på $b$.
Da forstår jeg bedre ja, takk for oppklaring.
Nå sliter jeg med et nytt problem;

- Pytagoras 1.PNG (40.67 KiB) Viewed 5013 times
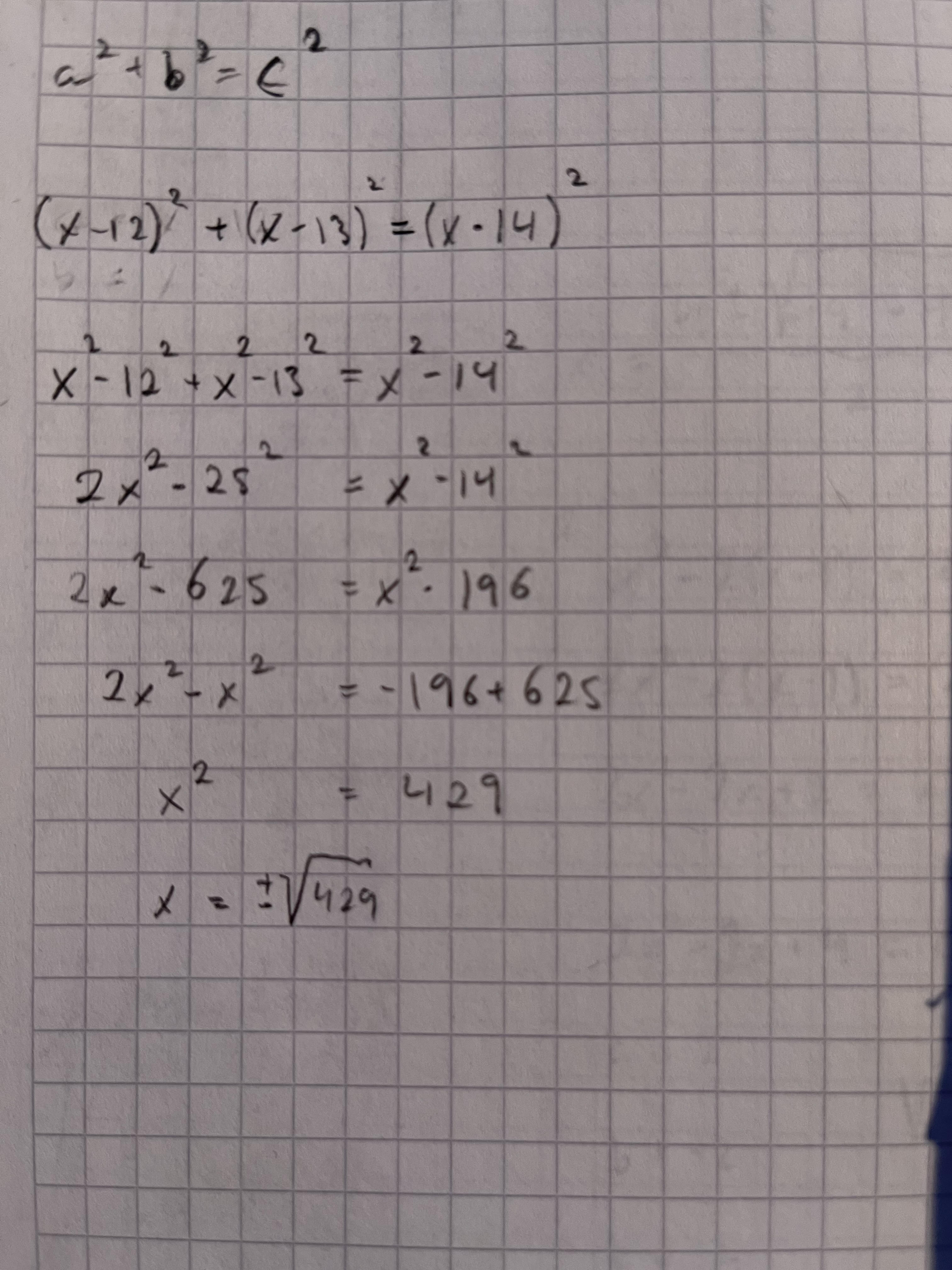
Om jeg tolker spørsmålet riktig; man har i utgangspunktet en likesidet trekant (ukjent verdi; x) - også kuttes hver side med 12, 13 og 14 (x-12, x-13, x-14), må man da her bruke pytagoras (et hint var å bruke Pytagoras setning for å sette opp likningen)?
[tex]a^{2}+b^{2}=c^{2}[/tex]
Blir det da slik (til å starte med)?
[tex](x-12)^{2}+(x-13)^{2}=(x-14)^{2}[/tex]
Re: Veien til R2-eksamen - privatist
Posted: 29/10-2022 20:38
by Mattebruker
Hugs at hypotenusen ( x - 12 ) er den lengste sida i den rettvinkla trekanten.
Forøvrig korrekt oppsett !
Ser elles ( med litt prøving og feiling ) at vi får ein 3 - 4 - 5 - trekant når x = 17
Re: Veien til R2-eksamen - privatist
Posted: 30/10-2022 07:44
by Styrmannen
Mattebruker wrote: 29/10-2022 20:38
Hugs at hypotenusen (
x - 12 ) er den lengste sida i den rettvinkla trekanten.
Forøvrig korrekt oppsett !
Ser elles ( med litt prøving og feiling ) at vi får ein 3 - 4 - 5 - trekant når x = 17
Hjertelig.
Prøver her nå å gå videre:

- Pytagoras 2.jpg (1.25 MiB) Viewed 4985 times
Bruker formelen for enkle andregradslikninger:
[tex]x^{2}=a[/tex]
og får da:
[tex]x = \sqrt{a}[/tex]
Hvor går jeg feil her? Er det når jeg løser ut parentesene og plusser sammen [tex]x^{2}[/tex]?
Er ikke [tex]x^{2}+x^{2}=2x^{2}[/tex]? (eksempel)
Re: Veien til R2-eksamen - privatist
Posted: 30/10-2022 11:17
by Mattebruker
Pytagoras: katet[tex]^{2}[/tex] + katet[tex]^{2}[/tex] = hypotenus[tex]^{2}[/tex] ( gjeld berre for rettvinkla trekant )
Har ein mistanke om at du har misforstått hintet eg kom med i forrige innlegg ( hypotenusen er den lengste sida i trekanten )
Pytagoras gir likninga
( x - 13 )[tex]^{2}[/tex] + ( x - 14 )[tex]^{2}[/tex] = ( x - 12 )[tex]^{2}[/tex] , x [tex]>[/tex] 14
Multiplisere ut kvadratuttrykka ( her kan du bruke 2. kvadratsetning ) og ordne ( skrive ) likninga på forma
( * ) a x[tex]^{2}[/tex] + b x + c = 0
Bruke abc-formelen for å løyse likninga ( * ). Da får du to løysingar, men berre ei av desse oppfyller kravet om at x [tex]>[/tex] 14.
Good luck !
Eksempel på bruk av 2. kvadratsetning:
( x - 14 )[tex]^{2}[/tex] = x[tex]^{2}[/tex] - 2[tex]\cdot[/tex] x [tex]\cdot[/tex] 14 + 14[tex]^{2}[/tex] = x[tex]^{2}[/tex] - 28 x + 196
Re: Veien til R2-eksamen - privatist
Posted: 31/10-2022 20:29
by Styrmannen
Mattebruker wrote: 30/10-2022 11:17
Pytagoras: katet[tex]^{2}[/tex] + katet[tex]^{2}[/tex] = hypotenus[tex]^{2}[/tex] ( gjeld berre for rettvinkla trekant )
Har ein mistanke om at du har misforstått hintet eg kom med i forrige innlegg ( hypotenusen er den lengste sida i trekanten )
Pytagoras gir likninga
( x - 13 )[tex]^{2}[/tex] + ( x - 14 )[tex]^{2}[/tex] = ( x - 12 )[tex]^{2}[/tex] , x [tex]>[/tex] 14
Multiplisere ut kvadratuttrykka ( her kan du bruke 2. kvadratsetning ) og ordne ( skrive ) likninga på forma
( * ) a x[tex]^{2}[/tex] + b x + c = 0
Bruke
abc-formelen for å løyse likninga ( * ). Da får du to løysingar, men berre ei av desse oppfyller kravet om at x [tex]>[/tex] 14.
Good luck !
Eksempel på bruk av 2. kvadratsetning:
( x - 14 )[tex]^{2}[/tex] = x[tex]^{2}[/tex] - 2[tex]\cdot[/tex] x [tex]\cdot[/tex] 14 + 14[tex]^{2}[/tex] = x[tex]^{2}[/tex] - 28 x + 196
Takk for svar, jeg satt fast en god stund på regnestykket her, og måtte bruke mathsolver.microsoft.com - for det var noe mellomledd her jeg ikke fikk til å stemme så kom jeg over formelen;
[tex](a-b)^{2} =a^2-2ab+b^2[/tex]
Den fant jeg heller ikke i formelboken så den må jeg fylle inn (selv om den sikkert er der..
Re: Veien til R2-eksamen - privatist
Posted: 01/11-2022 14:18
by LektorNilsen
Det er tre setninger som kan være veldig greit å få på plass, som man får bruk for i mange sammenhenger.
1.Kvadratsetning: [tex](a+b)^{2}=a^{2}+2ab+b^{2}[/tex]
2.Kvardratsetning: [tex](a-b)^{2}=a^{2}-2ab+b^{2}[/tex]
3.Kvadratsetning (konjugatsetningen): [tex]a^{2}-b^{2}=(a+b)(a-b)[/tex]
Det er nokså greit å utlede disse ved å "regne ut". Eksemel med 1.kvadratsetning: [tex](a+b)^{2}=(a+b)(a+b)=a^{2}+ab+ba+b^{2}=a^{2}+2ab+b^{2}[/tex]
NB! Legg merke til at både a og b kan være produkter av konstant og variabel, og da må i så fall både konstant og variabel kvadreres (jmf. potensreglene).
Eksempel:
[tex](2x+3)^{2}=(2x)^{2}+2\cdot2x\cdot3+3^{2}=2^{2}\cdot x^{2}+2\cdot2x\cdot3+3^{2}=4x^{2}+12x+9[/tex]
Når man har blitt dreven på dette, og er forbi "terpefasen", går man gjerne direkte fra uttrykket lengst til venstre til uttrykket lengst til høyre.