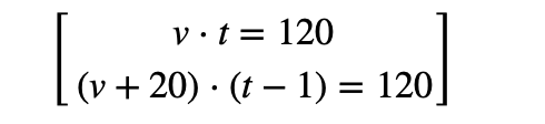
Er det noen som kan forklare dette likningsettet med to ukjente ved hjelp av innsetningsmetoden:
Se vedlegg under.
S1 likningsett med to ukjente
Moderators: Aleks855, Gustav, Nebuchadnezzar, Janhaa, DennisChristensen, Emilga
-
Guest
Når du bruker innsetningsmetoden må du forsøke å isolere den ene variablen. Dette kan du f.eks. gjøre ved å få til at t står på venstre side for seg selv mens resten står på andre siden i den første likningen.
For å bli kvitt v på venstre siden deler du altså på v på begge sider og får følgende:
$t = \frac{120}{v}$
Nå har du isolert t for seg selv og vi kan si at du har et uttrykk for t. Dette kan du så sette direkte inn i likning 2 istedenfor t.
Du substituerer (bytter) ut t i likning 2 med $\frac{120}{v}$.
Dette betyr at du kan skrive likning 2 $(v+20) \cdot (t-1) = 120$ som $(v+20) \cdot (\frac{120}{v}-1) = 120$
Denne likningen kan du så løse for v. Da ender du opp med et tall, la oss f.eks. si at du ender opp med v=1. Dette kan du så sette inn i første likning igjen for å finne t. $t = \frac{120}{v}$ blir $t = \frac{120}{1} = 120$
For å bli kvitt v på venstre siden deler du altså på v på begge sider og får følgende:
$t = \frac{120}{v}$
Nå har du isolert t for seg selv og vi kan si at du har et uttrykk for t. Dette kan du så sette direkte inn i likning 2 istedenfor t.
Du substituerer (bytter) ut t i likning 2 med $\frac{120}{v}$.
Dette betyr at du kan skrive likning 2 $(v+20) \cdot (t-1) = 120$ som $(v+20) \cdot (\frac{120}{v}-1) = 120$
Denne likningen kan du så løse for v. Da ender du opp med et tall, la oss f.eks. si at du ender opp med v=1. Dette kan du så sette inn i første likning igjen for å finne t. $t = \frac{120}{v}$ blir $t = \frac{120}{1} = 120$

